Crack Quadratic Equations with Our MCQ Mock Test!

Struggling with Quadratic Equations? Test your understanding and boost your confidence with our Class 10 Maths Chapter 4 – Quadratic Equations MCQ Mock Test!

This test covers every key concept — from factoring, completing the square, and using the quadratic formula to finding roots and their relationships with coefficients. Each question is designed to sharpen your problem-solving skills and prepare you for the kind of questions you’ll face in your board exams.

What You’ll Get:

  • A wide range of MCQs on all important types of quadratic equations.
  • Step-by-step solutions for better conceptual clarity.
  • Instant scoring and performance analysis to track your progress.
  • Practice that improves accuracy, speed, and confidence.

Why Attempt This Test?
Because mastering Quadratic Equations is essential for tackling higher algebra and scoring well in Maths. Regular practice with our mock test ensures you can solve any problem with ease.

Attempt the test now and become a pro at Quadratic Equations!

1. The value of k for which the equation x2 + 2(k + 1)x + k2 = 0 has equal roots is

 
 
 
 

2. If the roots of ax2 + bx + c = 0 are equal in magnitude but opposite in sign, then

 
 
 
 

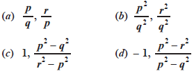
3. If p, q and r are rational numbers and p ≠ q ≠ r, then roots of the equation (p2 – q2)x2 – (q2 – r2)x + (r2 – p2) = 0 are

 
 
 
 

4. If the roots of equation 3x2 + 2x + (p + 2) (p – 1) = 0 are of opposite sign then which of the following cannot be the value of p?

 
 
 
 

5. Which of the following equations has two distinct real roots?

 
 
 
 

6. Which of the following is not a quadratic equation?

 
 
 
 

7. If α + β = 4 and α3 + β3 = 44, then α, β are the roots of the equation

 
 
 
 

8. (x2 + 1)2 – x2 = 0 has

 
 
 
 

9. In the following questions, a statement of assertion (A) is followed by a statement of Reason (R). Choose the correct answer out of the following choices.

Assertion (A): 2  is not the root of the quadratic equation x2 − 4  x + 8 = 0.
Reason (R): The root of a quadratic satisfies it.

 
 
 
 

10. In the following questions, a statement of assertion (A) is followed by a statement of Reason (R). Choose the correct answer out of the following choices.

Assertion (A): 3y2 + 17y – 30 = 0 have distinct roots
Reason (R): The quadratic equation ax2 + bx + c = 0 have distinct roots (real roots) if D > 0.

 
 
 
 

11. Which of the following are the roots of the quadratic equation, x2 – 9x + 20 = 0 by factorisation?

 
 
 
 

12. If (1 – p) is a root of the equation x2 + px + 1 – p = 0, then roots are

 
 
 
 

13. If (x – a) is one of the factors of the polynomial ax2 + bx + c, then one of the roots of ax2 + bx + c = 0 is

 
 
 
 

14. If the equation x2 – (2 + m)x + (–m2 – 4m – 4) = 0 has coincident roots, then

 
 
 
 

15. If α, β are roots of the equation x2 + 5x + 5 = 0, then equation whose roots are α + 1 and β + 1 is

 
 
 
 

16. If x = 2 is a solution of the equation x2 – 5x + 6k = 0, the value of k is

 
 
 
 

17. If the roots of quadratic equation ax2 + bx + c = 0 are equal in magnitude but opposite in sign then find the value of b.

 
 
 
 

18. If (x – a) is one of the factors of the polynomial ax2 + bx + c, then one of the roots of ax2 + bx + c = 0 is

 
 
 
 

19. If the difference of the roots of the equation x2 – bx + c = 0 be 1, then

 
 
 
 

20. Which of the following equations has no real roots ?

 
 
 
 

Question 1 of 20